| 產品系列 |
|
|
| 聯(lián)系我們 |
棗莊長信化工有限公司
地址:山東省棗莊市中區(qū)市中工業(yè)園谷山路
聯(lián)系人:
邵經理18906322539(微信同號)
座機:0632-5102378
網站:www.yunrang2.com
郵箱:cx_water@163.com |
|
|
| |
|
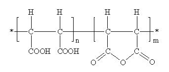
水解聚馬來酸酐(溶劑法) HPMA
|
| Hydrolyzed Polymaleic Anhydride (HPMA) |
| |
別名:溶劑法聚馬來酸,PMA
平均分子量: 600~1500
結構式

一、性能與用途: HPMA是一種基于溶劑相聚合后再水解的分子量相對較高的聚馬來酸,其平均分子量可達1000左右。HPMA無毒,易溶于水,化學穩(wěn)定性及熱穩(wěn)定性高,分解溫度在330℃以上。HPMA在高硬度、高堿度、高溫條件下仍具有優(yōu)異的阻垢性能,因此在海水淡化的閃蒸裝置中、低壓鍋爐、油田及工業(yè)循環(huán)冷卻水中得到廣泛使用。另外HPMA有一定的緩蝕作用,與鋅鹽復配緩蝕效果更好。HPMA還可用于水泥外加劑,鹽堿土壤改良劑等。
二、技術指標
|
項 目
|
指 標
|
|
外 觀
|
琥珀色液體
|
|
固體含量 %
|
48-52
|
|
pH (原液)
|
≤2.0
|
|
粘度 (25°C)/ cps
|
12.0-30.0
|
|
密度(20℃)g/cm3 ≥
|
1.16-1.22
|
三、使用方法 HPMA單獨使用時一般使用濃度為1~15mg/L,常與有機膦酸鹽復合使用,具有良好的配伍性。HPMA與有機膦酸及季銨鹽類化合物具有良好的兼容性,在正常使用條件下不受氯及其它氧化性殺生劑的影響。
四、包裝與貯存 HPMA為塑料桶包裝,每桶25kg、200kg、1000kg或由用戶確定。貯存期為十個月。
五、安全防護 HPMA為酸性,操作時注意勞動保護,應避免與皮膚、眼睛等接觸,接觸后用大量清水沖洗。 |
|
上一條信息:
馬來酸-丙烯酸共聚物 MA/AA
下一條信息:
水解聚馬來酸酐 HPMA
|
|